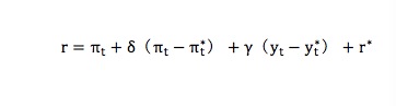
约翰·泰勒(John B. Taylor)本人对美国货币政策规则的研究集中在20世纪70-90年代,他提出应考虑产出缺口和通胀缺口,以最优化中央银行的货币政策反应函数。泰勒在《实践中的相机抉择与政策规则 》中认为:第一,政策规则优于相机抉择,因其易于建立当局与市场之间的合作关系。第二,政策规则要有较好的“反馈机制”。第三,在固定汇率制下,一国不能自主决定本国的利率水平。第四,美国的平均自然利率(实际利率)约为2.0%,考虑到价格测量过程中存在的误差,每年2%的内含通胀率目标能够接近代表价格稳定或近似代表“零通胀”,即使用如下方程对联邦基金利率进行调整,这就是经典的“泰勒规则”:

其中,r表示联邦基金利率,

“泰勒规则”综合了货币学派和凯恩斯学派,并汲取了真实经济周期理论,其本质上包含了维克赛尔(Knut Wicksell)的“自然利率”思想。对比泰勒方程,若实际通胀水平和实际产出水平都等于其目标值(潜在值),则央行制定的实际利率恰好等于目标实际利率,这个实际利率可以近似认为是自然利率。
从“泰勒规则”简化公式看,“泰勒规则”给出了清晰的规则调整机制:货币当局制定短期利率,短期利率影响长期利率,进而影响总需求,通过价格粘性带来的供给滞后而造成产出缺口,经济表现为物价变动,从而产生通胀预期,货币当局根据通胀预期再对短期利率进行调整。因此,“泰勒规则”发挥作用需要较强的外部市场环境,这就要求一国具备较为发达的金融市场。
实践证明,“泰勒规则”可以在很大程度上解释和预测美联储大约20年的目标利率,尤其是在“大缓和时期(Great Moderation)”(1980s中期到2000s初期)。“泰勒规则”拟合利率和真实利率高度一致的时期是1987-2002年,该时期正是美国的大缓和时期,此后二者的“开口差距”越来越大。危机后美国先后实施了3轮大规模QE计划,美联储宣布将基准利率定为0-0.25%,自此联邦基准利率与“泰勒规则”严重背离。
一个有趣的现象是,除沃尔克时期(1979-1987年)之外(这一时期的特定背景是美国高通胀,美联储对加息投鼠忌器),美国的联邦基金利率大都低于“泰勒规则”所预测的利率水平,尤其是在利率下行之时,这说明了美联储对“加息”犹豫踌躇,背后的逻辑很可能是美联储对美国经济的“尾部风险”心存疑虑。自2014年底以来,美国经济复苏迹象比较明朗,世界普遍预期美国短期内会加息,但耶伦掌管的美联储却将加息日期一再推迟,这反映出美联储仍对美国经济“尾部风险”心存忧虑,表现出对加息慎之又慎的态度。
另外,通过对多个发达国家和发展中国家进行拟合的结果显示,发达国家的拟合值与政策利率的回归系数达到0.79,但发展中国家的回归系数只有0.68,中国只有0.43。因此,“泰勒规则”在发达国家或许能够较好地成立,但在发展中国家却存在较大偏差。与美国类似,其他发达国家的“泰勒规则”拟合利率与真实利率较好成立的时期基本也在“大缓和时期”,2003年后二者之间的“开口差距”开始显著加大,2008年后二者基本不存在对应关系。同时,其他发达国家的政策利率多数时期也在“泰勒规则”拟合利率之下,但这种倾向在发展中国家并不十分显著。
2008年后,发达国家平均政策利率从2007年的4.96%下降至2009年的0.38%,并维持0.3%左右的低利率环境至今,美国等国家危机后基本实行了0利率政策(0-0.25%)。与之相反的是,发展中国家加权平均利率仅从2007年的4.24%下降至2009年的3.05%,而且平均政策利率从2010年开始上升,2011-2014年平均政策利率维持在4.34%的高位,甚至高于2007年10BP。
结合“泰勒规则”在美国等世界主要发达国家的表现和中国特殊的金融环境,笔者认为中国不存在“泰勒规则”,其原因可以归结为:
第一,中国“自然利率(实际利率)”不稳定或可能不存在。由于中国长期处于经济转轨时期,各种资源、法律和制度都存在高度不确定性。历史上,中国的每一次经济高速发展都伴随着若干重大改革措施的实施和重大利好的释放,如1992年的邓小平南巡和2001年的中国加入WTO以及近年中国人口红利的巨大释放等。本轮改革能在多大程度上提升中国经济以及金融危机对中国的影响到底会持续多久仍存在高度不确定性。因此,中国经济的潜在增长率不仅在历史上可能存在高度不确定性,而且在本轮危机中可能变得更加扑朔迷离。若不能有效地确定潜在的经济增长率,则中国的“自然利率”可能也就无从确定。“自然利率”缺失对“泰勒规则”的影响就是中国人民银行难以确定维持价格稳定条件下保障国民经济平稳增长所需的长期利率之“锚”(r^*)。
第二,“目标通胀率”是软约束。中国的年度实际CPI与政府工作报告中预先设定的CPI之间有较大差距,而且中国物价波动较大,不存在明显且一致的“通胀中枢值”(预期),再加上中国人民银行并未明确宣布长期通胀目标值,因此,中国尚未有“长期锚定的通货膨胀率”。根据“泰勒规则”,若不知道政府长期锚定的通胀目标值,就不能建立有效的短期利率反馈值,若用计量手段进行拟合,预期通胀的不一致性和不稳定性可能带来较大的估计误差。
第三,中国央行独立性不高。中国人民银行在国务院领导下,制定和执行货币政策,但在其自主性方面和组织人事方面仍受到一定限制。根据“泰勒规则”反馈机制,具有足够独立性的央行能够向市场释放出清晰且一致的远期利率预期和通货膨胀预期,从而有利于利率从短端顺利传导至长端。反之,若货币政策不透明,则市场难以形成一致预期,进而难以形成有效的利率期限结构。正如泰勒本人所认为的那样:不利于建立起当局与市场之间的合作关系。
第四,商业银行市场分割。我们通过对五类“商业银行”2014年(2013年)的信贷总额和总客户数量进行梳理后发现,这五类金融机构有着各自比较明确的客户群体,这些客户市场存在较大的市场分割性。商业银行客户市场分割带来的直接后果是,各行只把本行的每年信贷额度配向“优质客户”,市场分割造成了商业银行之间竞争不足,负债端成本的下降不能及时有效地传递到信贷端,“泰勒规则”传导机制被削弱。
第五,中国存在巨大信贷约束,直接融资市场欠发达。由于中国商业银行各自具有比较明确的客户群体,虽然部分银行之间存在客户交集,但从整体上讲,商业银行的规模和属性与其目标客群的规模和属性之间存在高度相关性。商业银行的每年信贷额度指标都会事先确定,每个分行更倾向于将信贷资源配给符合本行要求的“优质客户”,而一般客户很难获取这部分信贷资源。从“泰勒规则”角度讲,在直接融资市场受限的情况下,居民和企业受到国内银行体系融资约束的直接后果表现为银行/企业对贷款利率不敏感,而且由于居民不能自由进行跨期消费选择,企业不能做出最优资本投入决策,利率也就不能有效发挥资金价格作用,从利率到总需求的传导机制受到了限制。
第六,无风险利率下降缓慢。自2008年以来,中国无风险利率(10Y国债)一直处于波动中,2014年全年表现出稳步下降的态势,而后受到地方债置换、股市资金分流和经济预期等因素的影响,10Y国债收益率自2005年5月开始大幅攀升,当前3.61%的水平基本与2014年底持平。同时,同期限企业债与10Y国债收益率也未显著收缩,当前AAA、AA+和AA企业债利率分别为4.71%、5.68%和6.32%,由于当前GDP增长率在5.8%左右,企业发债融资成本依然偏高。人民币贷款加权平均利率和一般贷款加权平均利率近两年内一直处于高位,2015年第一季度分别为6.56%和6.78%,与2013年初基本相当。政府和央行一方面有内在压低利率为实体经济“输血”的强烈愿景,另一方面企业内在收益的下降会引起商业银行的“惜贷”行为,过剩资金不断地在资本市场“空转”。长期位于高位的无风险利率造成了总需求对利率的“钝化”,从“泰勒规则”看,这会弱化从长期利率到总需求的传导。
第七,需求被抑制。居民消费低迷的的原因除了信贷约束之外,还有一个重要原因是居民可支配收入增长过缓,中国城镇居民和农村居民人居可支配收入增长率自2011年以来出现了显著放缓。中国2015年之后将面临较严峻的老龄化问题,从美国和日本等发达国家经验看,人口老化往往会带来劳动收入份额下降而非上升。劳动收入增长放缓,甚至下降,将对国内消费起到消极作用,除了减少对耐用品的消费外,还可能会在日常消费中对利率的敏感度下降。从“泰勒规则”看,从短期利率和长期利率传导到总需求会受到严重削弱。
第八,中国实施固定汇率体制。从世界范围内看,发达国家已经基本放弃了法定准备金政策,广大发展中国家不仅维持着较高的法定准备金率,而且频繁使用准备金政策。统计显示,发展中国家在过去的40年里,每两次法定准备金调整的平均时间间隔为4.4年,除去巴拿马、危地马拉、巴拿马和泰国等样本外,其他发展中国家的平均维持期限只有2.4年,而工业化国家平均13.1年才对法定准备金调整一次,其中澳大利亚、加拿大和英国等国家从未对准备金进行过调整。2005年后中国央行显著增加了法定准备金的调整次数,1984-2005年间人民银行共调整准备金8次,平均0.36次/年,2006-2015年间人民银行共调整准备金42次,平均4.2次/年,调整频率是1984-2005年的11.7倍(2015年只计算了2月5日和4月20日这两次准备金变动,若以2006-2014年计算,则平均4.4次/年,是1984-2005年的12倍)。因此,中国央行不仅严重依赖法定准备金政策,而且是法定准备金政策工具的积极使用者,尤其是在2008年金融危机之后。
一般认为,随着金融市场的发展,央行会减弱对数量型货币政策工具的依赖,强化对价格型货币政策工具的运用。通过分析中国利率与GDP之间的系数和准备金率与GDP之间的系数后发现,2005年以来,特别是2008年以来,中国的利率政策对经济增长的作用越来越弱,准备金政策对经济增长的作用越来越突出,二者的回归系数由全样本的0.0017增加到2005年以来的0.0045以及2008年以来的0.0106,也就是说,准备金政策对利率政策的替代作用越来越突出,即中国利率政策和准备金政策之间的关系从2005年之前的互补关系转变为2005年之后的替代关系。
为什么包括中国在内的广大发展中国家如此依赖准备金政策?这是因为,与工业化国家相比,发展中国家的货币政策目标更加多元化,他们更加注重本国的汇率变动和海外资金的流动。在经济环境恶化时,发达国家可以单一地通过降息来刺激经济,无需担心本国汇率大幅贬值;但对发展中国家而言,本币的大幅贬值和巨额的资本流出是不能被接受的,因此,发展中国家在恶劣的经济环境中只能选择保持国内利率不变,甚至通过加息以保卫汇率和留住国际资本。在此背景下,下调准备金率以刺激经济就成了发展中国家货币政策制定者的次优选择,在经济繁荣时期亦是如此。因此,发展中国家货币政策目标的多元化将严重削弱货币当局利率政策工具的自主性,法定准备金政策通过货币政策制定者的“次优选择”而成为利率政策的替代工具。可以预见的是,中国在今后相当长一段时间内,仍不会放弃对人民币汇率的调控和对海外资本流动的管制。随着中国资本账户开放,中国的货币政策自主性可能进一步受到削弱。因此,中国的法定准备金政策还将在相当长的一段时期内被人行所使用。
由于汇率削弱了货币当局利率自主权,而且一国总需求和通胀水平也会对该国汇率产生影响,只用“利率”这一个货币政策工具同时盯住通货膨胀和汇率(可能还包括经济增长或失业率),其政策效果会大打折扣。
通过详细分析“泰勒规则”的反馈机制,我们发现中国不仅存在“自然利率”缺失和“目标通胀率”软约束问题,而且由于央行与市场沟通的不畅使市场不易形成远期利率和通胀率的稳定预期,从而降低短期利率向长期利率传导的效率;同时,中国银行之间竞争力的不足会导致负债端利率向贷款利率传导有效性的下降,融资约束、无风险利率难下、信用未分化和居民收入较低等因素也会弱化利率对总需求的影响,更为重要的是,中国的固定汇率体制会严重削弱本国利率自主性,只用“利率”这一个货币政策工具同时盯住通货膨胀和汇率(可能还包括经济增长或失业率),其政策效果会大打折扣。
一个有趣的现象是,中国货币政策多年来一直盯住广义货币供应量M2,通过分析M2与GDP和CPI之间的数量关系后发现,M2=GDP增长率+CPI+资本深化项,资本深化项大致在2%~3%左右波动。在中国利率传导机制尚未完全打通之前,中国的货币政策还将依赖于数量型货币政策工具。我们在即将发布的《中国没有泰勒规则(下篇)》中研究发现,2008年后货币供应量(M2)在对GDP反应逐步弱化的同时转而开始加强对CPI作出反应,随着中国利率市场化进程的快速推进,利率政策对GDP的反应程度有望得到提升,中国货币政策工具对不同经济目标的指派性开始出现分化,“货币供应量调控物价水平+利率政策调控经济增长”的政策组合可能是未来几年中国货币政策的选择方向。